前回の問題の弦の上を進む進行波と後進波について、計算してみよう。弦の長さ

、
波の速度は

、両端は固定されているとする。その条件のもとで、以下2つの波が衝突
する様子を計算せよ。
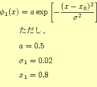
後進波は、
とする。そして、進行波は、
とする。

のときの様子を、図
5に示す。波の衝突で、その
形はどうなるか?。壁に衝突するとどうなるか?計算せよ。
図 5:
の時の進行波と後進波の様子。
|
|
ホームページ:
Yamamoto's laboratory著者:
山本昌志
Yamamoto Masashi
平成17年2月18日